关于yl9193永利集团2025年转专业学生转入结果的公示

发布时间:2026年01月12日 09:26    发布者:杜全周

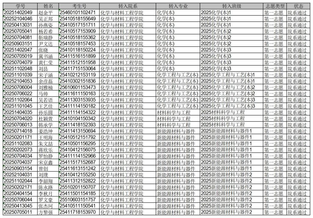
依据《永利集团学生学籍学历管理实施细则(修订)》(新院教〔202326号)和《永利集团学生转学、转专业管理办法(修订)》(新院教〔202325号)文件有关要求,按照学校的统一部署,经学生本人申请、学生所在学院同意,教务处初审,专业考核,学院转专业工作领导小组研究,现就拟接收的转专业学生名单公示如下: